产品目录
蜜柚app下载汅api免费下载在线观看
液体流量计
蜜柚直播app新版官网安卓下载
油流量计
蜜柚直播app下载
椭圆齿轮流量计
电磁流量计
涡街流量计
蒸汽流量计
孔板流量计
旋进旋涡流量计
热式气体质量流量计
转子流量计
浮子流量计
靶式流量计
气体流量计
超声波流量计
磁翻板液位计
浮子液位计
浮球液位计
玻璃管液位计
雷达液位计
超声波液位计
投入式液位计
压力变送器
差压变送器
液位变送器
温度变送器
热电偶
热电阻
双金属温度计
推荐产品
联系蜜柚视频了app下载汅api免费下载
- 金湖蜜柚视频了app下载汅api免费下载仪表有限公司
 - 联系电话:15195518515
 - 在线客服:1464856260
 - 电话:0517-86801009
 - 传真号码:0517-86801007
 - 邮箱:1464856260@qq.com
 - 网址:http://www.ahdmwy.com
 - 地址:江苏省金湖县理士大道61号
 
蜜柚app下载汅api免费下载在线观看dn65不同检测方式结果
发布时间:2020-12-22 13:00:57  点击次数:1577次
  摘要:音速喷嘴法气体流量标准装置是采用气路循环经过涡轮流量计到喷嘴,然后到气泵抽气的全过程进行检定。采用的是负压法检定蜜柚app下载汅api免费下载在线观看dn65,也是目前检定流量计的重要方法之一,用之比较广泛。钟罩式气体流量标准装置采用的是正压法,它是用一定体积量的标准气体流经涡轮流量计,从而实现了对流量计的检定,其本身流量范围比较小,适合检定口径比较小的流量计,符合流量计在实际工作中的状态。本文就两种检测方法,检定同一涡轮流量计的结果进行分析比较,同时对测量结果进行不确定度评定,为以后的研究做出了一定的指导意义。
钟罩式气体流量标准装置(如图1)是以气体为介质,对气体流量计进行检定、校准和检验的标准设备。一般有钟罩、液槽、发讯机构、压力补偿机构、气源和试验管路构成。装置是由可动的钟罩和固定的液槽构成一个容积可变的密封空腔。钟罩下降过程中通过压力补偿机构,使其内部气体压力保持一定值,不随钟罩浸入密封液中的深度而变化。钟罩两挡板之间的容积是固定的,测出两挡板先后通过光电发讯器所经历的时间,可计算出瞬时流量。
音速喷嘴法气体流量标准装置(如图2)是以洁净空气为介质,其检测原理是用真空泵1将空气由被检表的上游直管段入口吸入,经过被检表前直管段、被检表11和被检表下游直管段进入滞止容器8,在滞止容器的下游,有一组音速喷嘴5,控制音速喷嘴下游的开挂阀门4,可以任意选择所要开关的音速喷嘴,以达到改变被检表流量的目的,滞止容器需要测温6测压7,代入公式计算可以得到通过音速喷嘴的质量流量,从而实现对被检表的检定。


1概述
1.1测量依据:
JJG1037-2008《涡轮流量计》。
1.2环境条件
大气温度为(23.5±1)℃;大气相对湿度为(38±1)%RH;大气压为(93.2±0.5)kPa,检定用介质温度(18.5±0.2)℃;电源电压应为(220±22)V,电源频率应为(50±2.5)Hz;外界磁场、机械振动小到对流量计的影响可以忽略不计。
1.3测量标准
0.1级钟罩式气体流量标准装置,测量范围:(0.5~120)m3/h、DN(25~80)mm,检定介质:空气。
0.25级音速喷嘴法气体流量标准装置,测量范围:(0.1-15000)m3/h、DN(15~400)mm,检定介质:洁净空气
1.4被测对象
依据JJG1037-2008涡轮流量计检定规程,上述0.1级钟罩式气体流量标准装置能够开展的蜜柚app下载汅api免费下载在线观看dn65准确度等级为(0.5-1.5)级。因此选用DN25mm,流量范围为(0.5~15.0)m3/h,1.5级的蜜柚app下载汅api免费下载在线观看dn65。
1.5涡轮流量计工作原理及特点
涡轮流量计是速度式流量计中的主要种类,当被测流体流过涡轮流量计传感器时,在流体的作用下,叶轮受力旋转,其转速与管道平均流速成正比,同时,叶片周期性地切割电磁铁产生的磁力线,改变线圈的磁通量,根据电磁感应原理,在线圈内将感应出脉动的电势信号,即电脉冲信号,此电脉动信号的频率与被测流体的流量成正比。蜜柚app下载汅api免费下载在线观看dn65具有精度高、重复性好、无零点漂移、高量程比等优点。涡轮流量计拥有高质量轴承、特别设计的导流片,因此*大降低了磨损,对峰值不敏感,甚者恶劣的条件下也可以给出可靠的测量变量。涡轮流量计输出信号为脉冲,易于数字化。涡轮流量计压力损失小,叶片能防腐,可以测量粘稠和腐蚀性的介质。
1.6测量过程
在规定的环境条件下,按JJG1037-2008涡轮流量计检定规程,将涡轮流量计安装在(音速喷嘴法)气体流量标准装置上,保证流量计与前后直管段同轴安装。以空气为检定介质,调节流量点至*大流量的70%流量点,运行5min,等待介质温度、压力和流量稳定后进行正式检定。
依据检定规程,1.5级的涡轮流量计检定流量点分别为:qmin、qt、0.40qmax和qmax。对于量程比≤20:1的流量计,其分界流量qt=0.2qmax。将在*i点*j次测得的被检流量计脉冲信号与标准气体流量装置在该点该次测得的标准体积流量之比作为*i点*j次测量的仪表系数。每个检定流量点检定3次,取其平均值作为该流量点的仪表系数。
2建立数学模型
2.1数学模型

K为*i次测量被检流量计的仪表系数,(m3)-1;
Ni为*i次测量被测流量计显示仪表测得的脉冲数;
Vi为*i次测量标准装置的累积流量值,m3;
2.2传播率公式

3钟罩式气体流量标准装置输入量的相对不确定度的评定
3.1输入量Ni的相对不确定度urei(Ni)评定
输入量Ni的不确定度来源主要是流量计测量的不重复性,采用A类评定方法评定。
用一台DN25mm,测量范围为:(0.5~15)m3/h的蜜柚app下载汅api免费下载在线观看dn65,流量选择在*大流量的100%处测量60秒,累计流量250L,用工控测量设备连续测量6次得到的一组测量列,如表1所示。

3.2输入量Vi相对不确定度urei(Vi)的评定
输入量Vi相对不确定度Urei(Vi)不确定度主要来源于气体流量标准装置的测量误差,其不确定度采用B类方法评定。
由于厂家给出该气体流量标准装置的扩展不确定度U=0.1%;k=2。
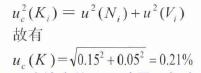
所以Urei(Vi)=0.1%/2=0.05%根据以上标准不确定度分量汇总见表2.

3.3合成相对标准不确定度

3.4其他给点的测量结果(如表3所示)

3.5扩展不确定度的评定
取其测量结果重复性作为其*大值,则扩展不确定度为:
U(K)=0.21%×2=0.42%;K=2
4.音速喷嘴法气体流量标准装置输入量的相对不确定度的评定
4.1输入量Ni的相对不确定度Urei(N)评定
输入量Ni的不确定度来源主要是流量计测量的不重复性,采用A类评定方法评定。
用一台DN25mm,测量范围为:(0.5~15)m3/h的蜜柚app下载汅api免费下载在线观看dn65,流量选择在*大流量的100%处测量60秒,累计流量250L,用工控测量设备连续测量6次得到的一组测量列,如表4.

4.2输入量Vi相对不确定度urei(Vi)的评定
输入量Vi相对不确定度Urei(Vi)不确定度主要来源于气体流量标准装置的测量误差,其不确定度采用B类方法评定。
于厂家给出该气体流量标准装置的扩展不确定度U=0.25%;k=2。
所以Urei(Vi)=0.125%/2=0.05%
据以上标准不确定度分量汇总见表5。

4.5扩展不确定度的评定
取其测量结果重复性作为其*大值,则扩展不确定度为:
U(K)=0.257%×2=0.54%;k=2
5.结论
(1)钟罩式气体流量标准装置测得蜜柚app下载汅api免费下载在线观看dn65的扩展不确定度为0.42%(k=2);音速喷嘴法气体流量标准装置测得蜜柚app下载汅api免费下载在线观看dn65的扩展不确定度为0.54%(k=2);两种测量结果都满足规程的要求,说明了其检测结果都可信。
(2)钟罩式标准装置在在检测的过程中,来回升降好多次,耗费时间比较长检测效率大大下降;而音速喷嘴装置耗时较短,减低了劳动强度,提高了了检测效率。
(3)两种检测方法都可以说明,无论选择哪种检测方式,都能达到预期效果。
  
  钟罩式气体流量标准装置(如图1)是以气体为介质,对气体流量计进行检定、校准和检验的标准设备。一般有钟罩、液槽、发讯机构、压力补偿机构、气源和试验管路构成。装置是由可动的钟罩和固定的液槽构成一个容积可变的密封空腔。钟罩下降过程中通过压力补偿机构,使其内部气体压力保持一定值,不随钟罩浸入密封液中的深度而变化。钟罩两挡板之间的容积是固定的,测出两挡板先后通过光电发讯器所经历的时间,可计算出瞬时流量。
音速喷嘴法气体流量标准装置(如图2)是以洁净空气为介质,其检测原理是用真空泵1将空气由被检表的上游直管段入口吸入,经过被检表前直管段、被检表11和被检表下游直管段进入滞止容器8,在滞止容器的下游,有一组音速喷嘴5,控制音速喷嘴下游的开挂阀门4,可以任意选择所要开关的音速喷嘴,以达到改变被检表流量的目的,滞止容器需要测温6测压7,代入公式计算可以得到通过音速喷嘴的质量流量,从而实现对被检表的检定。


1概述
1.1测量依据:
JJG1037-2008《涡轮流量计》。
1.2环境条件
大气温度为(23.5±1)℃;大气相对湿度为(38±1)%RH;大气压为(93.2±0.5)kPa,检定用介质温度(18.5±0.2)℃;电源电压应为(220±22)V,电源频率应为(50±2.5)Hz;外界磁场、机械振动小到对流量计的影响可以忽略不计。
1.3测量标准
0.1级钟罩式气体流量标准装置,测量范围:(0.5~120)m3/h、DN(25~80)mm,检定介质:空气。
0.25级音速喷嘴法气体流量标准装置,测量范围:(0.1-15000)m3/h、DN(15~400)mm,检定介质:洁净空气
1.4被测对象
依据JJG1037-2008涡轮流量计检定规程,上述0.1级钟罩式气体流量标准装置能够开展的蜜柚app下载汅api免费下载在线观看dn65准确度等级为(0.5-1.5)级。因此选用DN25mm,流量范围为(0.5~15.0)m3/h,1.5级的蜜柚app下载汅api免费下载在线观看dn65。
1.5涡轮流量计工作原理及特点
涡轮流量计是速度式流量计中的主要种类,当被测流体流过涡轮流量计传感器时,在流体的作用下,叶轮受力旋转,其转速与管道平均流速成正比,同时,叶片周期性地切割电磁铁产生的磁力线,改变线圈的磁通量,根据电磁感应原理,在线圈内将感应出脉动的电势信号,即电脉冲信号,此电脉动信号的频率与被测流体的流量成正比。蜜柚app下载汅api免费下载在线观看dn65具有精度高、重复性好、无零点漂移、高量程比等优点。涡轮流量计拥有高质量轴承、特别设计的导流片,因此*大降低了磨损,对峰值不敏感,甚者恶劣的条件下也可以给出可靠的测量变量。涡轮流量计输出信号为脉冲,易于数字化。涡轮流量计压力损失小,叶片能防腐,可以测量粘稠和腐蚀性的介质。
1.6测量过程
在规定的环境条件下,按JJG1037-2008涡轮流量计检定规程,将涡轮流量计安装在(音速喷嘴法)气体流量标准装置上,保证流量计与前后直管段同轴安装。以空气为检定介质,调节流量点至*大流量的70%流量点,运行5min,等待介质温度、压力和流量稳定后进行正式检定。
依据检定规程,1.5级的涡轮流量计检定流量点分别为:qmin、qt、0.40qmax和qmax。对于量程比≤20:1的流量计,其分界流量qt=0.2qmax。将在*i点*j次测得的被检流量计脉冲信号与标准气体流量装置在该点该次测得的标准体积流量之比作为*i点*j次测量的仪表系数。每个检定流量点检定3次,取其平均值作为该流量点的仪表系数。
2建立数学模型
2.1数学模型

K为*i次测量被检流量计的仪表系数,(m3)-1;
Ni为*i次测量被测流量计显示仪表测得的脉冲数;
Vi为*i次测量标准装置的累积流量值,m3;
2.2传播率公式

3钟罩式气体流量标准装置输入量的相对不确定度的评定
3.1输入量Ni的相对不确定度urei(Ni)评定
输入量Ni的不确定度来源主要是流量计测量的不重复性,采用A类评定方法评定。
用一台DN25mm,测量范围为:(0.5~15)m3/h的蜜柚app下载汅api免费下载在线观看dn65,流量选择在*大流量的100%处测量60秒,累计流量250L,用工控测量设备连续测量6次得到的一组测量列,如表1所示。

3.2输入量Vi相对不确定度urei(Vi)的评定
输入量Vi相对不确定度Urei(Vi)不确定度主要来源于气体流量标准装置的测量误差,其不确定度采用B类方法评定。
由于厂家给出该气体流量标准装置的扩展不确定度U=0.1%;k=2。
所以Urei(Vi)=0.1%/2=0.05%根据以上标准不确定度分量汇总见表2.

3.3合成相对标准不确定度

3.4其他给点的测量结果(如表3所示)

3.5扩展不确定度的评定
取其测量结果重复性作为其*大值,则扩展不确定度为:
U(K)=0.21%×2=0.42%;K=2
4.音速喷嘴法气体流量标准装置输入量的相对不确定度的评定
4.1输入量Ni的相对不确定度Urei(N)评定
输入量Ni的不确定度来源主要是流量计测量的不重复性,采用A类评定方法评定。
用一台DN25mm,测量范围为:(0.5~15)m3/h的蜜柚app下载汅api免费下载在线观看dn65,流量选择在*大流量的100%处测量60秒,累计流量250L,用工控测量设备连续测量6次得到的一组测量列,如表4.

4.2输入量Vi相对不确定度urei(Vi)的评定
输入量Vi相对不确定度Urei(Vi)不确定度主要来源于气体流量标准装置的测量误差,其不确定度采用B类方法评定。
于厂家给出该气体流量标准装置的扩展不确定度U=0.25%;k=2。
所以Urei(Vi)=0.125%/2=0.05%
据以上标准不确定度分量汇总见表5。

4.5扩展不确定度的评定
取其测量结果重复性作为其*大值,则扩展不确定度为:
U(K)=0.257%×2=0.54%;k=2
5.结论
(1)钟罩式气体流量标准装置测得蜜柚app下载汅api免费下载在线观看dn65的扩展不确定度为0.42%(k=2);音速喷嘴法气体流量标准装置测得蜜柚app下载汅api免费下载在线观看dn65的扩展不确定度为0.54%(k=2);两种测量结果都满足规程的要求,说明了其检测结果都可信。
(2)钟罩式标准装置在在检测的过程中,来回升降好多次,耗费时间比较长检测效率大大下降;而音速喷嘴装置耗时较短,减低了劳动强度,提高了了检测效率。
(3)两种检测方法都可以说明,无论选择哪种检测方式,都能达到预期效果。
